学院简介
党政领导
机构设置
教授委员会
学位评定委员会
学院视频
专业设置
重点学科
特色学科
一流专业
精品课程
杰出人才
专任教师
博士后
专业技术人员
外聘教师
荣休教师
创新团队
主要成果
科研平台
社会服务
学术交流
党建工作
纪委工作
工会工作
校友会简介
活动动态
发展基金
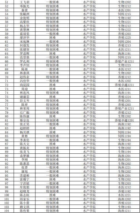
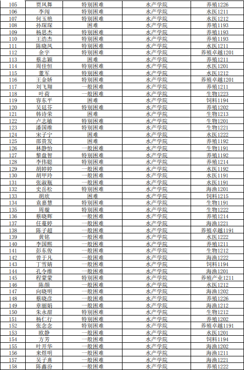
经过本人申请、评议小组评议、院系审核、学校组织交叉材料审核等过程,WilliamHill威廉拟认定张苗等248名学生为家庭经济困难学生。现进行公示,公示期为6月5日-6月9日。如有异议,请及时以电话形式向WilliamHill威廉学生工作办公室反馈。联系电话:0759-2383163。
附件:WilliamHill威廉 2023年春季学期困难认定结果公示
WilliamHill威廉
2023年6月5日